考虑长径比及冲刷的单桩基础侧向承载特性分析

Analysis of lateral bearing behaviors of scoured monopile foundations considering the influence of length-to-diameter ratio

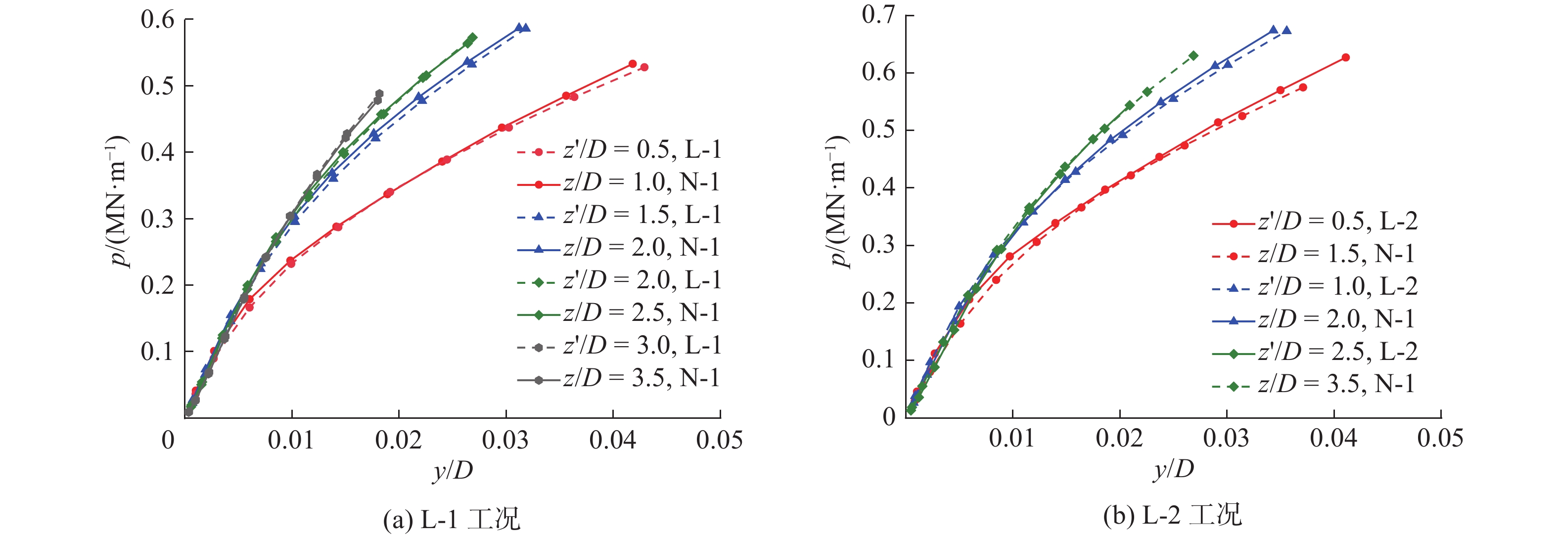
  • 摘要: 冲刷是海上风电单桩基础设计中需要考虑的重要因素,然而计算时通常忽略局部冲刷坑的几何形状及桩基入土段长径比(L/D)的影响,导致设计偏于保守。针对这一问题,建立考虑局部冲刷坑形态的海上风电桩基础三维有限元模型,研究冲刷作用下不同长径比桩基础的侧向承载特性变化规律,提出适用于受局部冲刷小长径比单桩基础的简化梁-弹簧分析模型并进行验证。研究结果表明:小长径比单桩基础的侧向响应对局部冲刷深度较为敏感。随着冲刷深度的增大,基底反力和桩侧垂向摩阻力等土反力分量对桩基水平承载力的贡献也随之增大,仅考虑桩侧土反力的传统API p-y曲线方法难以适用受冲刷单桩基础的计算分析,须考虑基底效应的影响。研究结果可为海上风电基础设计分析提供参考。

     

    Abstract: Scour is one of the key factors that should be considered in the design process of offshore wind turbine (OWT) monopile foundations. However, the geometry of local scour pit and embedded length-to-diameter ratio of pile (L/D) are always ignored in practice, which leads to a conservative design. A three-dimensional finite element model for OWT monopile considering the geometry of local scour pit and L/D was utilized to study its lateral bearing behaviors under the existence of local scour pit. Furthermore, a simplified beam-spring model for monopile with small L/D was proposed to predict the lateral responses of monopile under local scour and validation was also made. The results show that the lateral behaviors of monopile with low L/D are sensitive to the scour pit’s depth. With the increment of scour depth, the contribution of soil resistance components such as base reaction force and vertical shaft shear force to the pile foundation’s horizontal bearing capacity also increases. The typical API p-y curve method that only considers lateral soil resistance will no longer apply to the analysis of scoured monopile foundation, and the influence of pile base effect shall be taken into account. The research results can provide reference in practice of OWT foundation design and analysis.

     

/

返回文章
返回